In a decentralized exchange, every trade starts with one simple thing
That is, matching buyers with sellers.
Now, think of a marketplace where people want to trade, but there’s no proper system to connect them. What happens? Orders get stuck, prices keep changing, and people lose interest.
That’s why order matching plays such a big role. It keeps trades fair, helps maintain the right prices, and makes sure everything works as expected.
If you're building a DEX, focusing on order matching strengthens the platform. A well-structured system increases trading speed, accuracy, and user experience. Let’s analyze why this process is so important.
What is Order Matching?
Order matching is the process that pairs buy and sell orders so trades can happen automatically. On a DEX, there is no central entity deciding which trades go through. Instead, smart contracts handle the execution once conditions are met.
Example:
- Alice wants to buy 1 Bitcoin at $30,000
- Bob wants to sell 1 Bitcoin at $30,000
The system matches these orders and executes the trade instantly.
This process is crucial for speed, accuracy, and fairness in trading. It helps maintain efficient markets and allows participants to trade at the best available prices.
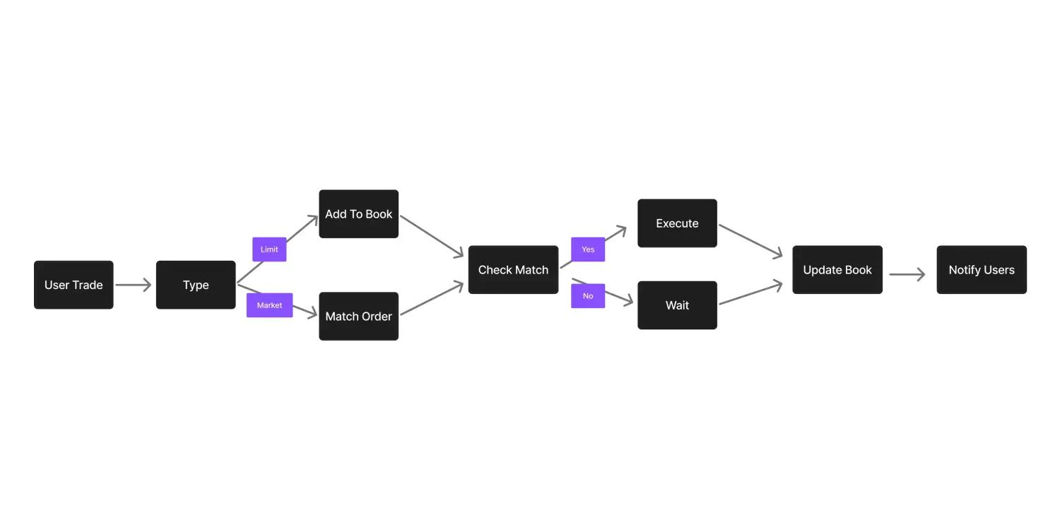
How Does Order Matching Works?
Order matching in a decentralized exchange connects buy and sell orders automatically. The system checks the order book, executes trades if a match exists, keeps unmatched orders waiting, updates the book, and notifies users for fast and transparent trading.

Why Order Matching Matters in Decentralized Exchange Development?
Order matching plays a crucial role in the functionality of decentralized exchanges. Here’s why it matters and how it affects their performance.
Fast Trades for a Better Experience
Traders want their orders processed quickly without price changes. A strong order-matching system keeps trades moving at expected prices, making transactions clear and easy to follow. This improves the trading experience and helps users make confident decisions.
Making the Most of Liquidity
A good order-matching system uses available liquidity effectively, allowing trades to happen without delays. This keeps the market active and encourages liquidity providers to participate, creating a better trading environment for everyone involved.
Building Trust with Traders
Decentralized exchanges offer control, and well-executed trades make them even more appealing. When orders are processed without issues, traders feel secure and stay engaged. This strengthens trust and encourages long-term participation in the platform.
Fair Pricing and Market Stability
Consistent pricing makes trading fair for all users. A well-structured order-matching system helps maintain balance, reducing price differences and making transactions clear. This keeps the market stable and ensures traders get fair value for their assets.
A DEX That Works Well Attracts More Users
When order matching is well-implemented, trades happen smoothly, liquidity increases, and users stay engaged. A well-run system attracts more traders and liquidity providers, creating a decentralized exchange that continues to grow and improve.
Which Tech Helps with Order Matching on Decentralized Exchanges?
To make sure orders are matched quickly and efficiently on decentralized exchanges (DEXs), different technologies are used. These tools help improve trading speed and keep everything running well.
Automated Market Makers (AMMs) – Trading Without a Middleman
Instead of the traditional method of matching buyers with sellers, many DEXs use AMMs. Here, liquidity pools take the place of an order book. Users add funds to these pools, and traders can swap assets directly from them. Prices are set using a formula that adjusts based on supply and demand.
Layer-2 Scaling – Making Trades Faster
If you've ever used a blockchain like Ethereum, you know that network congestion can slow things down and increase fees. That’s where Layer-2 scaling solutions like Optimistic Rollups and zk-Rollups come in. They process transactions outside the main blockchain at first and finalize them later, which speeds up order matching and reduces costs.
Cross-Chain Compatibility – Matching Orders Across Different Blockchains
Many traders want access to assets on different blockchains. Technologies like atomic swaps and interoperability protocols help match buy and sell orders across multiple networks. This means more trading options, better liquidity, and perfect transactions between different cryptocurrencies.
AI and Machine Learning – Smarter Order Matching
Some DEXs use AI-powered tools to analyze trading trends and predict order flows. These systems help to find the best possible match for an order by reducing slippage (price differences during execution) and make sure traders get the best deal.
High-Speed Matching Engines – Instant Trade Execution
Some decentralized exchanges, especially hybrid ones, use advanced matching engines to speed up the process. These systems work in real time, instantly pairing orders without delays while still keeping everything decentralized.
How Do Decentralized Exchanges Match Orders?
Decentralized exchanges match orders with different technologies and methods to facilitate trades without depending on a central authority. These approaches help DEXs operate effectively, enabling quick transactions.
1. Automated Market Makers (AMMs)
AMMs replace traditional order matching with liquidity pools. Instead of buying from a seller, traders exchange tokens directly with the pool. Prices adjust automatically using formulas like Uniswap's x * y = k. This eliminates the need for direct buyers and sellers but can cause price changes during trades.
2. Order Book Models
Some DEXs use order books, similar to centralized exchanges, where they match buy and sell orders when prices align. These models can be on-chain, where users record all orders on the blockchain, or off-chain, which reduces costs and speeds up transactions by processing orders through external systems.
3. Batch Auctions
Batch auctions collect multiple orders and process them all at once. This method stops traders from manipulating prices, as it executes all trades at the same time. It's commonly used in decentralized finance (DeFi) to make fairer pricing.
4. Off-Chain Order Matching
Off-chain order matching processes trades outside the blockchain before completing them on-chain. This helps lower transaction fees and speeds up trading. While it reduces delays, it uses third-party systems for order processing.
5. Cross-Chain Technologies
Cross-chain DEXs allow trading tokens between different blockchain networks. Using tools like atomic swaps and bridges, they connect separate blockchains, making it easier to exchange tokens across networks. This increases trading options for users.
6. Hybrid Models
Hybrid DEXs combine different methods to improve trading. Some use order books for better price matching and integrate AMMs for liquidity. This mix gives the benefits of both systems, making trading more flexible and accessible.
Order Matching Algorithms
Order matching algorithms decide the order in which trades happen. Some common types are:
- Price-Time Priority: Orders with better prices get matched first. If prices are the same, the one submitted earlier goes first.
- Pro-Rata Matching: Orders at the same price share what’s available fairly.
- First-In-First-Out (FIFO): Orders are executed in the exact order they were submitted.
- Hybrid Algorithms: Some exchanges mix methods to make trading faster and fairer.
The choice of algorithm affects how smooth and fair trading feels for users.
Features of a Strong Order Matching System
A good decentralized exchange (DEX) works best when its order matching system has:
- Fast processing to handle many trades at once
- Secure smart contracts to protect against fraud
- Clear rules so everyone knows how trades are executed
- Smart use of liquidity to avoid big price jumps
- Support for different order types like market, limit, and stop orders
- Cross-chain trading so assets from different blockchains can be traded
These features make trading easier for users and give developers tools to build strong platforms
What Challenges Do DEXs Face in Order Matching?
While decentralized exchanges offer many benefits, there are challenges in maintaining efficient order matching. Let’s look at some of the common issues.

Slippage: Large trades can cause prices to change, so traders may not get the price they expect.
Front-Running: Bots place orders before big trades to profit from price changes.
Liquidity Fragmentation: Liquidity is spread across different DEXs, making it harder to match orders quickly.
Gas Fees: High fees on networks like Ethereum can make small trades expensive.
Latency Issues: Transactions take longer to confirm, so matching orders can take more time.
End Thoughts
In the end, Order matching is key to making a decentralized exchange work well. If it’s not set up right, trades can get confusing, prices can change quickly, and users might get frustrated. A solid order-matching system keeps everything balanced and running properly, so everyone gets the best experience.
At Hashcodex, we understand the importance of an order-matching system in decentralized exchange development. Our expert developers use advanced technology to help create DEX platforms that make trading simple, attract liquidity, and keep users satisfied. A well-built order-matching system is the key to a successful exchange.








